【技术交流】面向生态产品价值实现的绿色金融政策评价
摘要: 绿色金融是生态产品价值实现保障机制的重要组成部分, 有助于推动建立生态友好的生产和消费模式。对2010年12月至2024年4月发布的面向生态产品价值实现的绿色金融政策内容进行政策要素、政策质量和政策工具结构的评价, 结果表明: (1)政策关键词以生态和绿色为核心, 产品和金融为支撑, 支持和价值为导向, 融资和创新为推动力, 并通过项目、探索、鼓励等方式实现政策目标; (2)政策要素的平均连接度为781.68, 且在政策网络中有22.59%的关系集中于少数核心政策, 每两个政策要素之间的平均关系强度为15.95, 显示出政策要素间的协同存在不均衡性, 部分要素联系较弱; (3)在政策质量评价方面, 各地面向生态产品价值实现的绿色金融政策均达到合格及以上水平, 其中华中、华南、西北和华东地区的政策水平高于其他地区, 且进一步研究发现, 政策时效、政策领域和政策工具是影响政策质量的关键因素; (4)政策工具结构方面, 需求型、环境型、供给型分别占比57.69%、23.25%、19.06%。在19个具体政策工具中, 占比排名前五的工具有绿色信贷、绿色保险、生态产品资产证券化、产业引导、产权抵押, 合计占比55.85%, 占比排名后五的有制度规范、信用评估、人才培养、交流合作、技术支持, 合计占比仅6.61%。
2012年, 党的十八大明确提出“增强生态产品生产能力”作为生态文明建设的重要任务。2015年, 《生态文明体制改革总体方案》提出从市场交易角度实现生态产品经济价值, 并制定相应的市场和价格机制。2021年, 中央办公厅、国务院办公厅印发的《关于建立健全生态产品价值实现机制的意见》明确了绿色金融在生态产品市场化探索中的支撑作用。2022年, 党的二十大报告进一步强调了绿色金融路径机制的重要性[1—3]。作为健全生态产品价值实现的重要保障机制之一, 绿色金融在推动生态资源高效利用和生态效益转化方面发挥着重要作用[4—5]。对面向生态产品价值实现的绿色金融政策进行内容评价, 有助于总结现有政策的经验与不足, 并为未来政策优化提供参考。
目前, 关于生态产品价值实现的研究主要集中在生态产品的内涵[1—2, 6—7]、价值核算[8]、机制建设[1, 9—10]、路径选择[11—12]、模式探索[13]和案例分析[14]等方面, 然而, 针对相关政策的系统化评价研究仍显不足。政策评价研究通常聚焦于政策绩效评价、政策内容评价和不同政策间的比较。近年来, 学者们从多角度探讨生态产品价值实现政策:有的通过模糊集定性比较分析提出适应不同区域特点的优化政策工具组合[15];有的利用内容分析和Nvivo12 Plus软件发现, 尽管政策覆盖较全面, 但结构仍待优化, 环境型政策工具使用过多而供给型工具不足[16];还有学者构建“政策工具—政策目标”二维量化评价模型后指出, 生态产品价值实现政策文件多以通知和实施方案为主, 工具分配不均衡, 对“生态环境优美化”的关注高于“生态产业高效化”[17];另有研究基于2010至2023年国家层面政策文本的量化分析发现, 政策仍以环境型工具为主, 需求型工具使用不足, 且企业和社会公众参与度不高[18]。与此同时, 绿色金融对生态产品价值实现的推动作用正受到广泛关注, 已有研究从定性[4—5]和定量[19—21]角度分析了不同类型绿色金融产品、绿色金融指数及绿色金融政策的影响。综上所述, 当前生态产品价值实现的研究多集中于路径、机制与模式的探索, 政策评价多采用政策工具分析方法, 以“生态产品价值实现政策”为研究核心, 而以“面向生态产品价值实现的绿色金融政策”为核心内容的量化系统评价研究仍显不足。
本研究重点关注面向生态产品价值实现的绿色金融政策文本内容, 探讨以下科学问题:面向生态产品价值实现, 绿色金融政策的重点要素是什么?这些重点要素之间的协同关系如何?各地制定的政策质量如何?政策工具结构是否合理?为解决这些问题, 本研究遵循“政策要素内容评价——政策整体内容评价——政策工具结构评价”的研究逻辑。首先, 通过关键词提取与社会网络分析锁定政策关注重点及其协同关系;然后, 构建PMC指数模型评价整体政策文本质量;最后, 从政策工具层面梳理当前各类政策工具, 并分析其组合特征、应用比例及合理性。研究框架如图 1 所示。
为了识别政策要素、分析政策要素的协同关系并评价政策整体质量, 需要聚焦于生态产品价值实现这一特定主题下的绿色金融政策。因此, 本研究选择2021年至2024年中央及地方出台的42份以“生态产品价值实现”为核心主题的政策文本中绿色金融内容作为研究对象。这些文本适用于要素提取、社会网络分析和PMC指数评价, 所得结果具有针对性和代表性, 能够直接服务于研究目标, 避免因主题泛化而导致目标偏离。
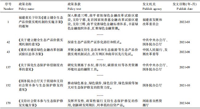
政策工具的研究目标在于系统梳理政策工具的结构及组合逻辑, 并探讨政策工具设计与政策目标之间的适配机制。为达到研究目的, 研究范围应涵盖所有与生态产品价值实现相关的绿色金融政策。因此, 本研究利用中央、省、市、县政府官网及北宝网站, 以“生态产品价值实现”、“绿色金融”、“生态保护修复”、“生态保护补偿”等关键词, 检索2010年12月至2024年4月期间的相关政策, 初步获得722份文件。剔除答复、新闻报道等不相关文件后, 保留与“绿色金融支持生态产品价值实现”直接相关的法律法规、计划、通知、意见等, 最终得到179份(含前述42份)政策文本(表 1)。
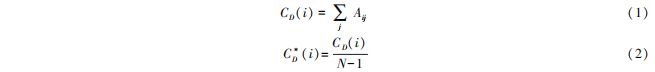
本研究利用词云图分析政策关键要素, 词云图作为一种定量文本分析工具, 通过频率分析揭示关键词的相对重要性, 并以可视化方式清晰展示文本中反复出现概念, 集中反映了政策目标和方向。利用UCINET 6软件从网络中心性和网络密度两个指标入手进行政策网络分析, 旨在揭示政策网络的结构特征和协同机制[22]。其中, 网络中心性用于衡量政策网络中各节点的重要性, 反映不同政策要素在政策体系中的相对影响力。度中心性(CD(i))根据公式(1)计算, 用以衡量某一政策要素与其他要素之间的直接联系数量, 即某一政策要素在整个政策网络中的影响范围, CD(i)越大表示该政策在网络中的重要性越高。其中, Aij代表政策网络的邻接矩阵。标准化度中心性(CD*(i))根据公式(2)计算, 用于比较不同规模政策网络, 其中N为政策网络中节点总数。
网络中心化程度(CD)根据公式(3)计算, 用于衡量政策网络是否集中于少数核心政策。其中, CDmax表示网络中连接最多节点的度中心性, CD(i)为第i 个政策要素的度中心性。若网络中心化指数较高, 则说明政策体系受少数核心政策主导;若较低, 则表明政策网络呈现分散协同的特征。
网络密度(D) 衡量政策要素之间整体联系的紧密程度, 即政策网络的联通性水平。其计算公式如公式(4)所示, 其中L表示实际存在的政策关联数量, N(N-1)/2表示无向网络中可能的最大连接数。密度值高表明政策要素之间联系紧密、协同程度高, 资源与信息流动顺畅;密度值低则说明政策体系较为松散, 政策间可能存在碎片化问题, 需要进一步优化政策协同机制。
PMC指数模型, 即政策一致性指数模型, 可用于衡量政策的内部一致性, 其结果反映了中央及各地发布的生态产品价值实现机制政策中绿色金融政策的质量和各维度得分[23]。本研究构建的PMC指数模型指标体系如图 2 所示, 其中一级指标共9个, 分别为政策性质、发布机构、作用对象、政策时效、政策评价、政策工具、政策领域、政策重点和政策公开[23—27]。此外, 该体系包含47个二级指标, 不仅考虑了政策属性、政策效力、作用对象、作用期限、制定规范性和是否公开等一般特征, 也涵盖了政策具体措施、覆盖范围和侧重点等特殊特征。
在评价过程中, 根据公式(5)和公式(6)对二级指标赋予0或1的数值, 以确保评价的客观性和准确性。具体而言, 若政策文件包含相应的二级变量, 则赋值为1, 否则为0, 从而构建政策样本的二级变量投入产出表。接着, 通过公式(7)计算一级指标的得分, 并依据公式(8)计算PMC指数, 其中Xi代表一级指标, Xij代表二级指标。考虑到每个指标在评估过程中同等重要, 一级指标和二级指标的权重均被设定为相同。根据已有标准[28—29], 当PMC指数在8—9之间时, 政策等级为优秀;在6—8之间为良好;在4—6之间为可接受;在0—4之间为合格。为深入探究不同地区生态产品价值实现中绿色金融政策的制定质量, 本研究按照国家统计局的划分标准, 将省、市、县所在区域归类为华中、华东、华南、华北、西南、西北和东北七大区域。
政策工具是政府为优化政策结构、提升政策协同性并实现特定政策目标而采用的系统性干预手段和实施方案。Rothwell和Zegweld提出, 针对政策主体而言, 政策工具可分为供给侧、需求侧和环境侧, 其中供给侧和需求侧呈现出推拉作用, 而环境侧则发挥间接影响作用[30]。该方法近年来被广泛应用于生态产品价值实现[16—18]、绿色金融[31]、绿色产业[32]等领域的政策分析与评价。本研究中, 如图 3 所示, 供给型政策工具指政府部门通过直接供给资金、人才和技术等要素, 推动实现面向生态产品价值实现的绿色金融政策目标;需求型政策工具指通过鼓励市场主体参与, 拉动面向生态产品价值实现的绿色金融政策目标;环境型政策工具指政府通过创新机制体制和完善信用评估等方式, 间接影响政策目标的实现。本研究选用Nvivo12软件对179份政策样本中与绿色金融政策相关的内容进行逐句阅读和编码, 将每个独立语句作为文本分析单元, 并按照“政策编号—政策细则”规则进行编码。对于同时涉及多种政策工具的文本分析单元, 则进行重复编码, 并将其提炼、分类到相匹配的19个政策工具中[17—18, 33—35]。
基于政策文本的词频统计(图 4), 对排名前10的关键词进行分析发现, “生态”(453次)与“绿色”(299次)在词频统计中占据显著位置;“产品”(296次)与“金融”(205次)分别位列第三和第四;“支持”(150次)与“价值”(126次)的出现频率紧随其后;“融资”(121次)与“创新”(115次)分列第七和第八;“项目”(89次)位列第九;“探索”(79次)与“鼓励”(79次)并列第十。由此可见, 面向生态产品价值实现的绿色金融政策的核心关注点集中在生态保护与绿色发展上。
基于网络中心度和密度指标, 对网络结构特征进行分析。从节点的度数分布来看, 政策网络的平均度数为781.68, 表明每个政策要素平均与782个其他要素存在联系, 显示出整体联系较为广泛。然而, 标准差为284.65, 说明不同政策要素的连接程度存在较大差异, 部分要素的关联性显著高于其他要素。最大度数为1621, 表明某些核心政策要素具有极强的连接能力, 处于政策体系的核心位置;而最小度数为262, 显示部分政策要素的连接程度较低, 处于政策体系的边缘位置, 反映出政策网络存在一定的不均衡性。整体中心化程度为22.59%, 表明政策网络呈现多中心结构, 多个政策要素均具有较强的连接性, 网络并非完全依赖单一核心政策。网络密度方面, 平均连接强度为15.95, 反映政策要素间的整体联系程度较高, 但标准差为9.11, 表明政策要素间的联系紧密度仍存在一定波动性。面向生态产品价值实现的绿色金融政策的社会网络关系如图 5所示。
图 5 面向生态产品价值实现的绿色金融政策社会网络关系图(TOP50关键词)
节点代表政策文本中的高频关键词, 词频越高, 节点越大, 表示该词出现得越多。连线代表关键词共现关系, 即两个词同时出现的次数;线条越粗, 表示共现频率越高, 关联性越强
对政策质量进行评价, 结果如表 2所示, 各地PMC指数均值为5.03, 虽然低于中央制定的P42政策PMC指数6.10, 但整体上处于“可接受”等级, 表明大多地区面向生态产品价值实现的绿色金融政策已经达到基本质量标准, 部分政策仍存在提升空间。地方政策样本中, 有5份政策处于“良好”等级, 有32份处于“可接受”等级, 4份处于“合格”等级, P35政策PMC指数相比其他地方政策低。从地区分布看, 华中、华南、西北、华东地区绿色金融政策质量及一致性水平较高, 西南、华北和东北地区绿色金融政策质量较低, 这种差异反映出不同地区在绿色金融政策制定方面的资源分配、政策环境、以及对绿色发展理念接受程度和执行力上存在差异。
在分析整体政策文本质量基础上, 进一步分析影响PMC指数的因素。如表 3 所示, 组成PMC指数的各维度评分平均值和中位数非常接近, 未出现极端偏斜情况, 表明政策制定者考虑较周全, 有助于政策在实际执行中均衡发挥作用。通过观察方差和变异系数以及PMC指数曲面图(图 6), 发现相比PMC指数高的政策(P4和P23), PMC指数低的政策(P35)在“政策性质”、“作用对象”、“政策时效”、“政策评价”、“政策工具”、“政策领域”等维度得分较低, 特别是“政策时效”、“政策工具”和“政策领域”。具体分析发现, “政策性质”、“作用对象”和“政策评价”评分低, 表明未能广泛覆盖所有潜在的受益群体, 且目标设定上缺乏明确性, 未能有效结合绿色金融多元目标和生态产品价值实现[36—37];“政策工具”评分低, 表明这类政策在工具应用上较为单一, 未能充分利用绿色信贷、绿色债券、绿色基金等多样化金融工具, 从而限制了融资渠道的拓展和风险分散[38], 该结论与前人分析结果相似[18];“政策领域”评分低, 表明政策在领域覆盖上不够广泛, 未能全面涉及到绿色金融可以发挥作用的各个行业和领域;“政策时效”评分低, 表明低得分政策在设计时未充分考虑长期、中期和短期目标的结合, 在应对环境、经济和社会变化时缺乏适应性和前瞻性[36]。
在9个PMC指标体系一级指标基础上, 建立PMC三阶矩阵, 由此绘制PMC曲面图, 以图像方式更直观反映研究结果; P4指江西省《关于建立健全生态产品价值实现机制的实施方案》, P23指河南省《关于建立健全生态产品价值实现机制的实施意见》,P35指《天津市建立健全生态产品价值实现机制的实施方案》重点任务清单
面向生态产品价值实现的绿色金融政策工具呈现出“需求型政策工具(57.69%) 环境型政策工具(23.25%) 供给型政策工具(19.06%)”的结构特征, 结果如表 4所示, 政策工具结构有待优化, 该结论和已有观点相似[16—17]。
供给型政策工具在资金支持与基础设施建设方面占比较高, 但在信息支持、奖补支持方面占比较低, 人才培养位列倒数第三, 技术支持则最低。这一分布表明, 现行供给型工具主要通过政府资金和专项拨款为金融机构提供基础资金和技术支持, 并结合财税优惠和信息共享等方式, 引导信贷投放和融资渠道向生态产品相关项目倾斜, 但在提升金融机构绿色金融服务能力的信息共享、人才培养和技术研发等软性支持上相对薄弱。
环境型政策工具中, 产业引导和体制机制占比较大, 而制度规范占比较低, 这表明现有绿色金融政策更多侧重于宏观层面的整体布局与体制创新。例如, 政策通过搭建跨部门或跨区域协调平台, 建立金融机构与政府、企业、社会等多元主体的合作机制, 积极探索适合各地资源禀赋和产业结构的绿色金融运行模式, 从而在宏观层面提供多方协同、灵活应变的保障。然而, 在具体法律法规、强制性标准或执行细则方面, 缺乏对绿色金融业务细化规范的资金投向、环境绩效衡量标准等硬性约束, 也缺少可操作的技术指南或行业执行标准, 对如何开展绿色信贷、碳金融、绿色保险等业务缺乏明确要求;此外, 社会参与、融资担保和信用评估的占比也不高, 表明在调动社会资本、降低融资风险和强化信用管理方面的政策支撑不足。
需求型政策工具中, 绿色信贷、绿色保险和生态产品资产证券化三项工具合计占比达41.72%, 表明政策制定者倾向于通过金融创新构建多元化融资渠道, 以激活生态产品市场并增强资金流动性[4]。产权抵押占比较高, 反映出政策关注通过将水权、林权、碳排放权等生态资源产权作为抵押物, 使集体与个人更容易获得融资, 促进绿色项目投资[11]。专项行动占比适中, 说明政策通过设定特定目标并集中资源开展针对性行动, 以引导和塑造绿色市场行为[39]。鉴于生态产品价值实现仍处于探索阶段, 各地生态资源禀赋与市场环境存在较大差异, 政策在国际合作与区域交流共享方面的布局相对较弱[11]。
对2010年12月至2024年4月间面向生态产品价值实现的绿色金融政策进行量化评价发现:第一, 绿色金融政策体系以“生态”和“绿色”为核心, 通过“产品”和“金融”提供支撑, 以“支持”和“价值”为导向, 通过“融资”和“创新”驱动, 并依托“项目”以及“探索/鼓励”推动政策目标落实。整体政策网络联系广泛, 但存在不均衡性, 部分核心要素占据重要位置, 而其他要素相对边缘化, 反映出多中心结构和连接强度波动性。第二, 政策质量方面, 各地政策平均得分为5.03, 虽低于中央政策6.10分, 但整体达“可接受”水平。华中、华南、西北、华东地区的质量和一致性较高, 而西南、华北和东北地区相对较低, 不同地区在资源要素配置、环境适应性及生态、经济与社会发展的协调程度上存在差异, 进而影响了政策内容的针对性和完善度。低分政策在时效性、领域覆盖和工具应用上尤为不足, 难以兼顾短、中、长期目标, 且缺乏对多元化金融工具的充分运用。第三, 绿色金融政策工具结构呈现出需求型工具占主导, 而环境型和供给型工具占比较低的特点。政策更倾向于通过金融创新激活生态产品市场, 但在制度规范、信用评估、人才培养、交流合作和技术支持等长期能力建设工具上存在不足。
基于研究结果, 提出以下建议:一方面, 针对已出台政策, 应重点加强各类政策工具在实践中的协同运用。在实施过程中, 要兼顾硬性与软性、短期与长期工具协同, 不仅确保绿色信贷、绿色保险等需求型工具落地, 还要强化环境型和供给型工具落实。同时, 应在政策执行中逐步建立动态监控、评估和反馈机制, 及时发现并解决问题。华中、华南、华东和西北地区可进一步细化和完善执行细则, 推广绿色金融实践中的成功经验;而西南、华北和东北地区在执行过程中需明确和细化政策目标, 兼顾各阶段需求, 并借鉴其他地区经验, 扩大潜在受益群体覆盖范围。
另一方面, 针对未来面向生态产品价值实现的绿色金融政策, 应从总体政策内容和政策工具结构两方面进行优化。在总体内容上, 应明确政策目标和受益群体, 确保政策性质、作用对象及评价机制覆盖所有潜在受益者, 并融合绿色金融多元目标与生态产品价值实现要求。同时, 要统筹短、中、长期目标, 拓宽政策适用领域, 构建跨区域、跨部门协同平台, 推动经验共享和模式推广。在政策工具结构上, 应在现有需求型工具基础上, 进一步强化对人才培养、技术支持、信息支持、奖补支持等供给型工具以及对制度规范、信用评估、融资担保等环境型工具的重视。



